-

专业包装 正品保证
-

快乐服务 售后无忧
-

会员特权 优惠不断
-

个人信息 严格保护
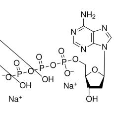
| 别名: | 三磷酸脱氧腺苷钠盐(dATP) ;脱氧腺苷三磷酸二钠 | ||
|---|---|---|---|
| Cas号: | 74299-50-6 | ||
| 分子式: | C10H14N5O12P3Na2·3H2O | ||
| 分子量: | 535.15 | ||
| MDL号: | MFCD00080335 | 储存条件: | -20°C |
|
| 货号 | 规格 | 可用库存 | 销售价(RMB) | 您的折扣价(RMB) | 购买数量 |
|---|