-

专业包装 正品保证
-

快乐服务 售后无忧
-

会员特权 优惠不断
-

个人信息 严格保护
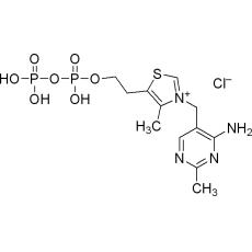
| 别名: | 羧化辅酶(氯化) ;焦磷酸硫胺素,二磷酸硫胺,氯化维生素B1磷酸酯 | ||
|---|---|---|---|
| Cas号: | 154-87-0 | ||
| 分子式: | C12H19ClN4O7P2S | ||
| 分子量: | 460.77 | ||
| EINECS编号: | 205-836-1 | ||
| MDL号: | MFCD00038740 | 储存条件: | -20°C |
|
| 货号 | 规格 | 可用库存 | 销售价(RMB) | 您的折扣价(RMB) | 购买数量 |
|---|