订购/客服:021-61998551/13122364865
我的收藏
购物车(
0
)
我的订单
登录
|
注册
泽叶生物
浏览全部产品分类
精细化学
催化剂
金属催化剂
相转移催化剂
配体
膦配体
Salen配体
氮杂环卡宾配体
烯配体
二酮配体
胺配体
亚胺配体
吡啶配体
联吡啶配体
菲咯啉配体
不对称合成
手性催化剂,配体和试剂
手性助剂
手性砌块
拆分试剂
通用试剂
无机金属
氢化物
N-杂环化合物
无机磷
碱
胺
盐
无机酸
非N-杂环化合物
羰基化合物
脂肪烃
芳香烃
原料药
醇
醚
化学生物学
氨基酸衍生物
合成试剂
其它合成试剂
C-X键形成
C-X键形成(无卤素)
保护和衍生
有机碱
有机酸
氧化剂
特种气体
缩合剂
脱水试剂
螯合/络合化合物
路易斯酸
还原剂
键形成
有机氟
离子液体
有机磷
电化学合成
有机氰
烷基化试剂
有机砌块产品
脲
肼
腈
胍
砜
芳烃产品
酮产品
酯产品
醇产品
醚产品
腙
肟
羧酸产品
有机金属试剂
有机钠
有机钾
有机汞
有机硅
有机铅
有机铜
有机铝
有机锂
有机锌
有机锗
有机锡
格氏试剂
硼酸及其衍生物
其它有机金属试剂
稳定性同位素
其它稳定性同位素试剂
氘代试剂
保护性氨基酸
标记生物活性物
NMR溶剂
香精香料
合成香料
天然认证产品
精油
甾体化合物
孕甾烷类激素
雌甾烷类激素
雄甾烷类激素
皮质激素
有机砌块
医药中间体
超干溶剂
烷基化试剂
分析色谱
环境分析
水质分析
分离介质
硅胶
其它树脂与LC分离介质
分子筛/活性碳/助滤剂
色谱溶剂
GC溶剂
HPLC溶剂
LC-MS
农残级
其它色谱溶剂
分析试剂
常用分析试剂
标准溶液
分析对照品
卡尔费休试剂
其它分析试剂
离子对试剂
衍生化试剂
材料科学
电子材料
气相沉积前驱体
溶液沉积前驱体
电子化学品
自组装和接触印刷
替代能源
储氢材料
电解质
有机印刷材料
OFET和OPV材料
OLED和PLED材料
光子和光学材料
升华材料
印刷电子
合成工具和试剂
基质和电极材料
液晶
OLED中间体
生物材料
交联剂
生物相容陶瓷
纳米材料
碳纳米材料
倍半硅氧烷/POSS纳米杂
化材料
树状大分子
纳米粉末和粒子分散液
纳米粒子:金属和金属陶瓷
表面功能化纳米粒子
量子点
金属陶瓷科学
合金
晶体级无机物
氧化物
盐
硫属化合物
碳基材料
金属
陶瓷
高分子科学
亲水性高分子
单体
塑料添加剂
天然高分子
工程塑料
疏水性高分子
硅酮
聚乙二醇和聚氧化乙烯
聚合引发剂
生命科学
生化试剂
去垢剂
发光化合物
变性剂
多肽
抗生素
其它生化试剂
核糖核苷酸及其衍生物
氨基酸
生物缓冲液
碳水化合物
荧光探针和染色剂
蛋白质和衍生物
螯合剂
赋形剂仅用于研究
酶与辅酶
酶底物
酶抑制剂
糖类
维生素
氨基酸及其衍生物
多肽合成
抗体
试剂盒
ELISA试剂盒
酶联免疫试剂盒
分子生物学
分子生物学试剂
核酸电泳
RNA纯化/DNA纯化
核酸电泳及回收
探针标记及检测
核酸扩增
克隆及表达
蛋白质研究
细胞生物学研究
基因组研究
工具酶
组织化学(含免疫组化)
即用型溶液
质粒(载体)
微生物菌种
定做基因检测试剂盒
PCR检测试剂盒
培养基
定做种属检测试剂盒
微生物学
培养基成分
生物研究
生物试剂
化学预防物质
抗肿瘤剂
肿瘤生长调节
其它
血管再生
细胞培养
试剂和补充物
植物组织培养
细胞生物学
生物活性小分子
细胞信号和神经生物学
细胞系
原代细胞
细胞系专用培养基
原代细胞培养体系
基础培养基
营养学研究
植物提取物
蛋白组学
重组蛋白
翻译后修饰
蛋白电泳
蛋白质定量
蛋白质结构分析
质谱
血液学组织学
染色剂
生物制剂
培养基
代谢组学
代谢途径
标准品
中药标准品
单体
碳纳米管
pH指示液
化学标准品
金属催化剂
Buffer 化合物
硼化合物
高纯金属基试剂
配体化合物
无水溶剂
HPLC溶剂
格氏试剂
GC标样
氘代试剂
有机保护基
有机氰基化合物
有机氟化合物
标准溶液
无机标准溶液
荧光试剂
生物活性抑制剂
核糖 核苷 核酸及其衍生物
甾体化合物
中检所标准品
有机标准溶液
首页
优势产品线
活动专区
技术文章
新闻资讯
产品中心
关于我们
重组蛋白
首页
>
生命科学
>
生化试剂
>
碳水化合物
>
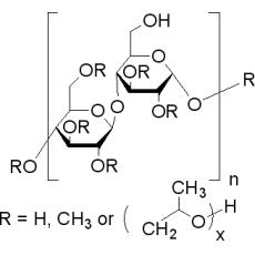
Z911098 羟丙基甲基纤维素, I型,粘度:4000mPa.s
Z911098 羟丙基甲基纤维素, I型,粘度:4000mPa.s
Hydroxypropylmethylcellulose (HPMC)
别名:
羟丙基甲基纤维素(HPMC) ;羟丙甲纤维素,纤维素羟丙基甲基醚
Cas号:
9004-65-3
MDL号:
MFCD00131360
储存条件:
室温
货号
规格
可用库存
销售价(RMB)
您的折扣价(RMB)
购买数量
Z911098-100g
I型,粘度:4000mPa.s
现货
100.00
100
Z911098-500g
I型,粘度:4000mPa.s
现货
412.00
412
加入购物车
相关产品推荐
产品介绍
Z912947
112-63-0
Z912947 亚油酸甲酯, 95%
Z910382
527-07-1
Z910382 D-葡萄糖酸钠, AR,99.0%
Z909612
57-48-7
Z909612 D-果糖, 99%
ZT1062
6363-53-7
麦芽糖一水合物BR,97%
Z908406
55453-87-7
Z908406 6,11-二氢-11-氧二苯并[b,e]氧杂卓-2-乙酸, 97.0%
ZT9190
89250-26-0
黄芪多糖BR,90%
ZT1195
9057-02-7
普鲁兰糖BR,98%
ZT1078
97-67-6
L-苹果酸BR,99%
ZT8268
597-12-6
D(+)松三糖水合物分析标准品,98%(HPLC)
ZT1216
35890-38-1
唾液乳糖BR,98%
Z904618
9004-32-4
Z904618 羧甲基纤维素I, M.W. 700000(DS=0.9) ,2500 - 4500mPa.s
Z913547
301-00-8
Z913547 亚麻酸甲酯, 10 mg/mL,基体:二氯甲烷
熔点:
密度:
储存条件:
室温
储存条件:
室温
颜色:
固体
专业包装
正品保证
快乐服务
售后无忧
会员特权
优惠不断
个人信息
严格保护
首页
|
网站使用条款
|
隐私政策
|
关于我们
|
网站地图
友情链接:
© 2005-2026 泽叶生物网站 版权所有,并保留所有权利。
沪ICP备16043273号-2号