-

专业包装 正品保证
-

快乐服务 售后无忧
-

会员特权 优惠不断
-

个人信息 严格保护
| 别名: | EDN3 ELISA Kit, endothelin 3 ELISA Kit, endothelin-3 ELISA Kit, ET3 ELISA Kit, ET-3 ELISA Kit, HSCR4 ELISA Kit, PPET3 EL | ||
|---|---|---|---|
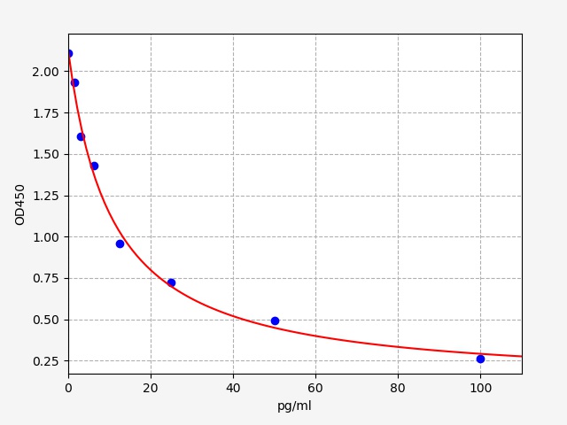
| 检测范围: | 1.563-100pg/ml | ||
| 灵敏度: | 0.938pg/ml | ||
| 种属: | Human | ||
| 储存条件: | 2-8℃ | ||
|
| 货号 | 规格 | 可用库存 | 销售价(RMB) | 您的折扣价(RMB) | 购买数量 |
|---|
| 熔点: | |
|---|---|
| 密度: | |
| 储存条件: | 2-8℃ |
Human (EDN3)ELISA Kit

Matrices listed below were spiked with certain level of EDN3 and the recovery rates were calculated by comparing the measured value to the expected amount of EDN3 in samples.
| Matrix | Recovery range(%) | Average(%) |
|---|---|---|
| serum(n=5) | 90-105 | 98 |
| EDTA plasma(n=5) | 85-103 | 94 |
| heparin plasma(n=5) | 85-98 | 93 |
The linearity of the kit was assayed by testing samples spiked with appropriate concentration of EDN3 and their serial dilutions. The results were demonstrated by the percentage of calculated concentration to the expected.
| Sample | 1:2 | 1:4 | 1:8 | 1:16 |
|---|---|---|---|---|
| serum(n=5) | 85-102% | 88-104% | 85-105% | 89-105% |
| EDTA plasma(n=5) | 83-97% | 92-101% | 82-99% | 85-101% |
| heparin plasma(n=5) | 82-98% | 80-96% | 81-95% | 82-91% |
特别提示:本公司的所有产品仅可用于科研实验,严禁用于临床医疗及其他非科研用途!